2025/07


The table on the right is a monthly calender with links to daily movies. The top number is the day and the lower number is the number of CMEs that were detected on that day.

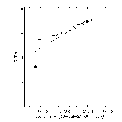
The table below gives the basic attributes of a CME. A Text version of the measurements can be found in links under the Start Time and Javascript movies can be found in the third column.
Daily Table of Movies




1*
2
2*
9
3*
20
4*
14
5*
21
6*
13
7*
9
8*
12
9*
5
10*
3
11*
6
12*
18
13*
13
14*
10
15*
10
16*
16
17*
12
18*
7
19*
8
20*
11
21*
12
22*
7
23*
3
24*
7
25*
7
26*
10
27*
7
28*
7
29*
5
30*
15
31*
10









 (*)An asterisk denotes days in which only quicklook data is available

     Previous Month                    Next Month


Event of width greater than 120 degrees
Event of width between 60 and 120 degrees
Event of width less than 60 degrees


read me
All data in txt format
# of Detections per day in txt format
# of Images per day in txt format

# Start Time Event Movie
(# of Frames)
Central PA (deg) Angular Width (deg) Linear Fit (km/s) 2nd Order Fit (m/s2)
1* 2025/07/01 02:00:07 7 186 9 216 -8.9
2* 2025/07/01 05:36:07 3 219 8 219 57.1
3* 2025/07/02 00:24:07 5 105 39 555 -17.8
4* 2025/07/02 02:12:07 8 204 16 180 -2.5
5* 2025/07/02 03:12:07 3 271 12 182 44.8
6* 2025/07/02 04:00:07 17 210 26 150 10.3
7* 2025/07/02 08:00:07 30 212 19 89 -0.6
8* 2025/07/02 12:00:07 5 268 15 27 -11.9
9* 2025/07/02 14:00:07 13 266 26 37 -7.5
10* 2025/07/02 16:49:09 14 217 11 107 -16.5
11* 2025/07/02 18:32:06 2 92 6 344 -------
12* 2025/07/03 00:08:07 8 266 35 49 -7.3
13* 2025/07/03 00:08:07 9 222 13 146 -16.6
14* 2025/07/03 02:44:06 6 367 24 323 55.8
15* 2025/07/03 03:44:06 19 268 71 147 9.7
16* 2025/07/03 06:44:06 3 78 14 139 -194.1
17* 2025/07/03 08:20:06 5 267 87 557 -34.1
18* 2025/07/03 08:44:06 6 210 15 138 -22.7
19* 2025/07/03 09:32:06 2 50 16 204 -------
20* 2025/07/03 09:32:06 3 256 64 522 -7.5
21* 2025/07/03 10:20:06 4 233 22 1247 -402.5
22* 2025/07/03 11:20:06 7 241 28 310 -14.9
23* 2025/07/03 11:32:07 11 270 23 251 2.4
24* 2025/07/03 13:08:06 2 247 12 2604 -------
25* 2025/07/03 14:08:08 7 273 18 516 -84.5
26* 2025/07/03 14:56:06 7 90 9 204 -86.8
27* 2025/07/03 16:33:49 5 72 11 504 21.1
28* 2025/07/03 16:56:06 2 92 5 170 -------
29* 2025/07/03 17:37:51 7 11 9 139 7.5
30* 2025/07/03 17:45:18 2 278 7 297 -------
31* 2025/07/03 19:36:07 6 248 7 551 33.1
32* 2025/07/04 00:36:07 2 364 42 279 -------
33* 2025/07/04 01:25:49 7 73 14 244 -37.6
34* 2025/07/04 02:24:07 9 8 6 88 9.4
35* 2025/07/04 03:12:07 10 14 18 71 6.9
36* 2025/07/04 04:49:23 4 287 6 139 -51.3
37* 2025/07/04 06:36:08 11 12 15 274 -21.6
38* 2025/07/04 07:12:07 3 7 5 80 -81.4
39* 2025/07/04 08:00:07 3 153 6 177 -156.5
40* 2025/07/04 08:24:09 4 231 12 244 1.0
41* 2025/07/04 09:12:07 20 145 36 39 -1.6
42* 2025/07/04 09:48:07 2 15 5 85 -------
43* 2025/07/04 09:48:07 3 5 5 387 145.5
44* 2025/07/04 14:24:07 4 102 10 449 -7.5
45* 2025/07/04 15:12:07 11 371 55 372 13.2
46* 2025/07/05 00:12:07 2 185 6 10 -------
47* 2025/07/05 00:24:07 2 15 30 473 -------
48* 2025/07/05 01:00:07 4 370 38 807 433.5
49* 2025/07/05 01:48:07 4 164 12 504 183.5
50* 2025/07/05 02:12:07 3 365 24 468 -306.4
51* 2025/07/05 02:36:07 5 99 6 438 -9.8
52* 2025/07/05 03:00:07 3 7 15 150 -6.5
53* 2025/07/05 03:36:09 3 372 35 193 -45.3
54* 2025/07/05 04:24:07 4 366 20 172 -7.5
55* 2025/07/05 05:48:07 5 104 8 396 67.7
56* 2025/07/05 07:00:07 2 263 5 1107 -------
57* 2025/07/05 07:00:07 6 8 12 185 -4.5
58* 2025/07/05 08:12:07 13 348 90 287 2.0
59* 2025/07/05 11:48:07 5 20 41 422 -193.3
60* 2025/07/05 11:48:07 11 327 31 236 -22.5
61* 2025/07/05 14:36:07 4 336 10 471 -194.3
62* 2025/07/05 14:48:07 3 17 14 317 336.3
63* 2025/07/05 15:36:07 6 337 6 398 78.2
64* 2025/07/05 17:12:07 3 336 5 511 52.3
65* 2025/07/05 18:12:07 8 255 17 511 8.6
66* 2025/07/05 18:24:07 9 15 18 139 -20.4
67* 2025/07/06 00:00:07 4 17 14 271 104.3
68* 2025/07/06 00:00:07 6 343 6 136 -0.6
69* 2025/07/06 00:36:09 9 248 12 386 20.0
70* 2025/07/06 03:00:07 6 251 15 454 -55.3
71* 2025/07/06 07:12:07 6 6 13 174 -1.9
72* 2025/07/06 09:24:07 3 109 8 328 67.3
73* 2025/07/06 11:48:07 2 169 7 602 -------
74* 2025/07/06 12:48:07 2 169 7 68 -------
75* 2025/07/06 15:00:07 3 8 12 355 -493.3
76* 2025/07/06 15:12:07 2 31 5 96 -------
77* 2025/07/06 15:36:07 6 250 13 407 23.1
78* 2025/07/06 22:00:07 2 171 5 53 -------
79* 2025/07/06 22:00:07 4 199 6 64 0.0
80* 2025/07/07 00:00:07 4 31 11 297 -52.1
81* 2025/07/07 02:00:07 5 55 14 129 6.4
82* 2025/07/07 02:36:07 4 11 20 67 -56.1
83* 2025/07/07 03:24:07 11 348 69 368 27.9
84* 2025/07/07 07:12:07 7 257 14 690 -0.7
85* 2025/07/07 09:12:09 18 63 12 68 7.2
86* 2025/07/07 09:24:07 3 240 5 522 -170.9
87* 2025/07/07 12:36:07 2 31 5 204 -------
88* 2025/07/07 14:24:07 12 104 16 398 42.5
89* 2025/07/08 00:24:07 3 102 6 494 133.9
90* 2025/07/08 00:24:07 4 36 19 642 -294.1
91* 2025/07/08 00:24:07 11 91 26 330 34.6
92* 2025/07/08 01:48:07 15 49 55 126 14.5
93* 2025/07/08 04:00:07 2 91 9 139 -------
94* 2025/07/08 05:00:07 3 4 9 365 29.9
95* 2025/07/08 05:00:07 6 52 68 470 -55.4
96* 2025/07/08 07:00:07 2 31 20 129 -------
97* 2025/07/08 07:36:07 6 33 23 433 -110.0
98* 2025/07/08 08:24:08 2 10 5 280 -------
99* 2025/07/08 09:00:07 13 34 21 194 4.1
100* 2025/07/08 20:00:07 2 71 5 96 -------
101* 2025/07/09 03:00:07 8 285 10 204 -43.8
102* 2025/07/09 08:36:07 5 75 9 178 100.2
103* 2025/07/09 09:48:07 11 76 10 16 2.2
104* 2025/07/09 12:24:08 4 328 18 27 -17.3
105* 2025/07/09 13:48:07 2 79 6 64 -------
106* 2025/07/10 02:12:07 6 217 19 150 6.0
107* 2025/07/10 06:36:07 15 44 21 192 -2.5
108* 2025/07/10 14:12:07 23 89 50 179 5.8
109* 2025/07/11 00:24:07 8 141 35 189 -1.9
110* 2025/07/11 04:17:44 3 131 6 97 -95.3
111* 2025/07/11 09:24:21 7 142 58 299 22.2
112* 2025/07/11 11:00:51 20 88 22 95 3.4
113* 2025/07/11 16:24:07 5 119 9 167 -25.6
114* 2025/07/11 23:48:08 9 36 31 276 19.0
115* 2025/07/12 03:00:08 16 309 18 192 9.1
116* 2025/07/12 03:36:08 10 333 19 212 39.2
117* 2025/07/12 05:36:07 2 32 6 214 -------
118* 2025/07/12 06:48:07 7 311 26 178 14.4
119* 2025/07/12 08:12:07 9 231 60 691 33.0
120* 2025/07/12 11:00:52 7 240 19 182 -21.5
121* 2025/07/12 11:12:11 3 343 6 48 -7.7
122* 2025/07/12 12:00:07 5 30 12 139 -44.8
123* 2025/07/12 12:36:07 5 330 17 205 -53.0
124* 2025/07/12 14:00:07 2 301 5 1452 -------
125* 2025/07/12 15:12:07 8 235 59 262 1.0
126* 2025/07/12 15:48:07 10 50 38 499 -53.1
127* 2025/07/12 17:12:08 3 244 41 236 134.5
128* 2025/07/12 18:12:07 8 67 8 212 45.3
129* 2025/07/12 18:12:07 12 236 27 192 -5.3
130* 2025/07/12 20:00:07 6 324 23 532 -86.3
131* 2025/07/12 21:12:07 2 297 13 150 -------
132* 2025/07/12 22:24:07 5 294 8 410 107.0
133* 2025/07/13 00:00:07 5 132 17 545 30.4
134* 2025/07/13 01:25:53 3 298 8 211 106.3
135* 2025/07/13 02:48:07 12 295 9 123 -0.9
136* 2025/07/13 08:12:07 5 291 4 307 -106.6
137* 2025/07/13 08:24:07 2 25 9 231 -------
138* 2025/07/13 09:36:07 3 291 7 339 43.8
139* 2025/07/13 12:36:07 2 247 7 344 -------
140* 2025/07/13 12:36:07 3 233 10 219 54.9
141* 2025/07/13 14:12:07 2 225 5 290 -------
142* 2025/07/13 14:24:07 2 345 13 312 -------
143* 2025/07/13 14:36:07 2 7 6 269 -------
144* 2025/07/13 15:36:07 7 17 9 129 16.7
145* 2025/07/13 18:48:07 4 216 21 238 157.1
146* 2025/07/14 00:24:08 2 279 6 280 -------
147* 2025/07/14 00:24:08 11 296 18 336 15.1
148* 2025/07/14 01:25:54 9 123 25 535 38.3
149* 2025/07/14 03:12:07 9 290 16 335 0.6
150* 2025/07/14 03:24:08 3 120 11 1087 492.9
151* 2025/07/14 04:24:07 3 268 9 129 30.1
152* 2025/07/14 05:12:07 6 294 9 394 28.6
153* 2025/07/14 11:12:09 8 299 9 243 19.5
154* 2025/07/14 14:24:07 18 233 105 264 1.0
155* 2025/07/14 18:36:07 6 228 32 161 29.9
156* 2025/07/15 00:00:07 9 213 145 151 -11.2
157* 2025/07/15 02:48:07 7 193 16 176 -7.8
158* 2025/07/15 03:00:07 9 264 33 266 2.8
159* 2025/07/15 04:36:07 13 184 64 176 -3.4
160* 2025/07/15 07:36:07 4 24 47 32 37.3
161* 2025/07/15 08:24:07 10 375 77 305 11.2
162* 2025/07/15 11:12:09 16 270 85 281 -10.9
163* 2025/07/15 11:36:07 3 19 29 322 -29.3
164* 2025/07/15 12:24:07 2 16 18 118 -------
165* 2025/07/15 15:00:09 3 239 23 296 -143.0
166* 2025/07/16 00:36:07 8 7 9 290 18.7
167* 2025/07/16 01:25:50 6 123 5 137 -95.4
168* 2025/07/16 02:36:07 2 337 5 688 -------
169* 2025/07/16 02:48:07 4 7 6 535 -77.9
170* 2025/07/16 03:00:09 5 67 4 398 -17.4
171* 2025/07/16 03:12:07 5 338 5 189 -4.3
172* 2025/07/16 03:48:07 13 122 21 142 0.7
173* 2025/07/16 08:12:07 5 264 5 265 5.3
174* 2025/07/16 08:12:07 10 127 6 97 2.5
175* 2025/07/16 11:36:07 14 74 19 207 -8.2
176* 2025/07/16 12:36:07 15 128 6 99 -0.0
177* 2025/07/16 13:25:53 4 2 5 239 -5.5
178* 2025/07/16 14:48:07 6 356 11 68 -14.1
179* 2025/07/16 16:12:07 7 132 10 289 -24.2
180* 2025/07/16 16:24:07 6 81 10 354 -43.5
181* 2025/07/16 17:36:07 11 286 68 372 -8.2
182* 2025/07/17 00:00:07 3 353 15 188 156.6
183* 2025/07/17 00:00:07 6 175 33 469 -63.6
184* 2025/07/17 01:48:07 6 169 10 358 -157.5
185* 2025/07/17 02:00:08 8 216 13 135 9.8
186* 2025/07/17 02:00:08 17 352 9 111 -2.4
187* 2025/07/17 03:12:07 4 308 8 130 -3.7
188* 2025/07/17 04:24:07 5 177 12 253 -101.8
189* 2025/07/17 05:00:08 3 135 6 282 -79.2
190* 2025/07/17 07:24:07 6 136 5 389 -164.2
191* 2025/07/17 08:00:07 6 346 9 233 15.2
192* 2025/07/17 12:48:09 4 59 5 237 12.7
193* 2025/07/17 18:36:07 2 339 11 75 -------
194* 2025/07/18 03:24:08 4 75 7 231 14.8
195* 2025/07/18 06:24:11 2 337 13 21 -------
196* 2025/07/18 09:24:22 2 3 5 120 -------
197* 2025/07/18 11:00:52 5 355 6 825 321.6
198* 2025/07/18 12:24:07 12 124 45 273 2.0
199* 2025/07/18 17:36:07 5 137 20 108 -13.9
200* 2025/07/18 18:48:07 2 134 6 129 -------
201* 2025/07/19 04:24:07 8 12 21 507 -2.6
202* 2025/07/19 09:48:07 6 257 13 215 27.2
203* 2025/07/19 11:00:54 6 92 21 683 75.6
204* 2025/07/19 12:00:07 4 254 5 526 -130.4
205* 2025/07/19 16:00:07 2 141 9 676 -------
206* 2025/07/19 17:12:07 2 142 8 1226 -------
207* 2025/07/19 20:12:09 8 80 14 332 32.5
208* 2025/07/19 23:12:07 2 83 15 118 -------
209* 2025/07/20 00:00:07 5 116 17 502 154.9
210* 2025/07/20 02:24:07 2 318 9 548 -------
211* 2025/07/20 05:12:07 2 261 5 290 -------
212* 2025/07/20 07:36:07 2 159 5 376 -------
213* 2025/07/20 08:00:07 15 121 81 285 -16.2
214* 2025/07/20 12:12:07 17 152 16 157 15.6
215* 2025/07/20 14:00:07 2 64 5 150 -------
216* 2025/07/20 16:24:07 3 155 6 182 194.3
217* 2025/07/20 17:00:07 7 76 28 931 42.2
218* 2025/07/20 18:36:07 11 86 8 302 -30.7
219* 2025/07/20 20:48:07 3 153 10 193 313.9
220* 2025/07/21 00:00:09 2 313 9 248 -------
221* 2025/07/21 00:12:07 5 153 7 37 -12.8
222* 2025/07/21 00:12:07 12 57 13 337 4.1
223* 2025/07/21 01:48:07 10 149 16 495 75.9
224* 2025/07/21 02:24:09 3 84 7 258 14.5
225* 2025/07/21 02:48:07 3 309 12 500 -52.3
226* 2025/07/21 03:24:07 2 88 6 538 -------
227* 2025/07/21 04:00:07 10 147 27 358 -5.1
228* 2025/07/21 06:24:10 15 308 28 244 -25.3
229* 2025/07/21 11:12:09 4 149 6 158 183.4
230* 2025/07/21 12:12:09 4 149 7 505 70.8
231* 2025/07/21 14:12:08 22 81 63 236 10.5
232* 2025/07/22 00:36:07 9 289 21 525 -17.2
233* 2025/07/22 02:36:07 10 285 26 339 0.8
234* 2025/07/22 04:48:07 9 86 14 318 12.7
235* 2025/07/22 04:48:07 17 284 19 179 -1.2
236* 2025/07/22 08:48:08 19 280 19 169 -1.7
237* 2025/07/22 14:00:07 5 279 9 57 -26.7
238* 2025/07/22 15:48:36 10 90 23 298 25.9
239* 2025/07/23 06:24:10 3 194 7 139 102.4
240* 2025/07/23 08:00:07 8 93 22 261 0.0
241* 2025/07/23 19:48:07 3 113 8 376 -104.6
242* 2025/07/24 01:25:51 7 87 15 318 -16.4
243* 2025/07/24 04:48:08 6 172 12 246 -12.1
244* 2025/07/24 06:24:10 15 234 58 295 -1.5
245* 2025/07/24 09:36:07 21 231 32 115 0.3
246* 2025/07/24 15:36:08 2 221 8 32 -------
247* 2025/07/24 16:12:07 12 258 94 314 32.4
248* 2025/07/24 19:24:09 10 257 94 283 -17.7
249* 2025/07/25 00:48:07 4 239 34 149 10.4
250* 2025/07/25 02:48:08 15 235 37 151 5.5
251* 2025/07/25 07:48:07 17 230 50 206 4.6
252* 2025/07/25 12:48:07 4 242 21 270 103.7
253* 2025/07/25 14:12:07 4 244 9 149 -3.7
254* 2025/07/25 18:12:07 5 240 7 416 -114.3
255* 2025/07/25 21:48:08 3 225 6 177 -142.4
256* 2025/07/26 00:48:07 2 297 7 1291 -------
257* 2025/07/26 01:12:07 7 42 24 55 -0.8
258* 2025/07/26 02:48:07 13 277 20 384 -24.4
259* 2025/07/26 04:00:07 4 39 30 88 0.0
260* 2025/07/26 05:00:07 4 41 23 174 9.0
261* 2025/07/26 06:24:10 3 178 5 86 -120.3
262* 2025/07/26 07:00:07 15 37 32 275 2.0
263* 2025/07/26 11:36:07 3 24 9 1550 -1850.6
264* 2025/07/26 13:25:52 7 65 20 224 -5.0
265* 2025/07/26 19:12:07 3 72 12 193 29.9
266* 2025/07/27 02:00:07 15 46 15 255 8.6
267* 2025/07/27 06:24:10 13 51 16 138 -17.7
268* 2025/07/27 10:24:21 2 232 9 580 -------
269* 2025/07/27 11:36:07 6 37 59 601 -21.4
270* 2025/07/27 13:25:53 16 47 84 196 -2.4
271* 2025/07/27 16:48:07 9 41 15 325 -39.5
272* 2025/07/27 19:12:07 4 46 9 145 11.2
273* 2025/07/28 00:24:09 3 72 6 420 -240.7
274* 2025/07/28 06:24:10 10 233 17 120 -7.5
275* 2025/07/28 08:24:07 12 243 42 283 -9.8
276* 2025/07/28 12:12:07 14 311 39 301 5.8
277* 2025/07/28 14:24:07 2 228 5 64 -------
278* 2025/07/28 17:07:50 5 228 14 200 62.0
279* 2025/07/28 23:48:07 24 225 44 168 0.8
280* 2025/07/29 05:12:07 8 231 32 245 -27.9
281* 2025/07/29 08:24:07 2 235 27 543 -------
282* 2025/07/29 09:48:07 2 238 20 531 -------
283* 2025/07/29 11:24:36 7 285 12 284 -17.8
284* 2025/07/29 12:12:07 17 85 27 205 8.6
285* 2025/07/30 00:36:07 2 265 15 182 -------
286* 2025/07/30 00:36:07 12 330 65 201 -19.0
287* 2025/07/30 03:24:07 18 263 35 200 15.5
288* 2025/07/30 06:24:10 20 352 14 43 -0.7
289* 2025/07/30 06:48:07 7 19 25 94 -18.5
290* 2025/07/30 08:24:07 10 20 23 252 -6.2
291* 2025/07/30 11:48:07 15 15 20 123 0.0
292* 2025/07/30 12:36:09 5 261 31 179 -12.6
293* 2025/07/30 15:12:07 13 367 34 57 1.3
294* 2025/07/30 16:48:07 2 219 8 86 -------
295* 2025/07/30 17:12:07 3 217 11 118 -164.4
296* 2025/07/30 17:36:07 8 227 47 79 8.2
297* 2025/07/30 17:48:07 3 216 15 188 -157.0
298* 2025/07/30 23:48:08 2 271 10 2295 -------
299* 2025/07/30 23:48:08 4 231 55 292 67.1
300* 2025/07/31 00:36:07 2 365 19 419 -------
301* 2025/07/31 01:25:56 7 287 11 617 5.7
302* 2025/07/31 01:36:26 3 214 7 316 132.2
303* 2025/07/31 02:24:07 3 223 5 91 67.3
304* 2025/07/31 03:12:07 8 223 20 376 23.9
305* 2025/07/31 09:12:07 7 179 359 337 -12.4
306* 2025/07/31 11:48:08 4 4 8 892 481.2
307* 2025/07/31 11:48:08 10 227 7 388 12.5
308* 2025/07/31 12:00:07 5 26 23 170 12.9
309* 2025/07/31 14:00:08 3 279 5 64 -0.1
</td>


Curators: Jie Zhang (jzhang7 AT gmu.edu); Suman Dhakal (sdhakal2 AT gmu.edu);
Last updated: 2020/04