2025/09


The table on the right is a monthly calender with links to daily movies. The top number is the day and the lower number is the number of CMEs that were detected on that day.

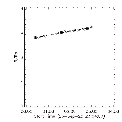
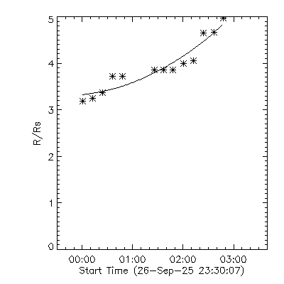
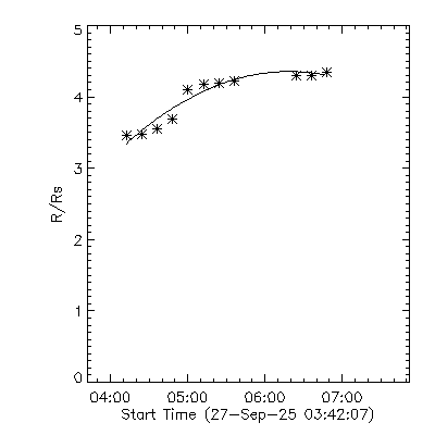
The table below gives the basic attributes of a CME. A Text version of the measurements can be found in links under the Start Time and Javascript movies can be found in the third column.
Daily Table of Movies


1*
10
2*
5
3*
7
4*
9
5*
7
6*
9
7*
12
8*
6
9*
14
10*
10
11*
11
12*
13
13*
14
14*
9
15*
12
16*
9
17*
15
18*
22
19*
11
20*
12
21*
26
22*
17
23*
17
24*
13
25*
16
26*
8
27*
19
28*
24
29*
21
30*
14











 (*)An asterisk denotes days in which only quicklook data is available

     Previous Month                    Next Month


Event of width greater than 120 degrees
Event of width between 60 and 120 degrees
Event of width less than 60 degrees


read me
All data in txt format
# of Detections per day in txt format
# of Images per day in txt format

# Start Time Event Movie
(# of Frames)
Central PA (deg) Angular Width (deg) Linear Fit (km/s) 2nd Order Fit (m/s2)
1* 2025/09/01 00:48:07 3 87 9 399 -165.8
2* 2025/09/01 03:12:07 2 202 5 53 -------
3* 2025/09/01 05:00:09 4 201 12 55 -45.0
4* 2025/09/01 06:24:11 2 85 6 660 -------
5* 2025/09/01 06:24:11 5 201 11 686 188.5
6* 2025/09/01 08:48:07 8 201 9 132 -5.7
7* 2025/09/01 11:00:46 23 254 59 123 0.7
8* 2025/09/01 15:48:07 3 201 5 199 -96.8
9* 2025/09/01 16:12:07 5 9 13 235 -3.2
10* 2025/09/01 17:24:07 8 206 25 338 18.9
11* 2025/09/02 05:12:07 3 3 6 839 -1014.9
12* 2025/09/02 15:12:08 2 29 7 808 -------
13* 2025/09/02 16:00:07 6 30 15 106 -37.1
14* 2025/09/02 16:48:09 2 294 5 64 -------
15* 2025/09/02 22:00:07 7 20 41 88 -28.7
16* 2025/09/03 00:00:07 5 19 38 58 2.1
17* 2025/09/03 01:25:29 7 377 46 167 -1.7
18* 2025/09/03 02:48:07 16 297 81 236 12.7
19* 2025/09/03 06:48:07 7 300 31 305 -24.0
20* 2025/09/03 08:12:07 12 376 47 239 -8.2
21* 2025/09/03 11:36:07 23 377 51 128 -5.9
22* 2025/09/03 16:48:07 8 153 217 198 23.0
23* 2025/09/04 01:25:30 3 119 5 738 -1098.9
24* 2025/09/04 02:12:07 2 118 8 667 -------
25* 2025/09/04 07:36:08 6 215 8 371 1.0
26* 2025/09/04 08:00:07 4 116 8 113 11.2
27* 2025/09/04 08:36:07 8 348 20 115 -22.9
28* 2025/09/04 15:00:07 3 342 31 1044 -1014.5
29* 2025/09/04 16:00:10 2 345 12 183 -------
30* 2025/09/04 22:00:08 2 187 8 194 -------
31* 2025/09/04 22:12:07 6 289 9 393 9.1
32* 2025/09/05 00:00:07 3 195 20 746 409.9
33* 2025/09/05 02:24:07 3 340 37 393 -71.8
34* 2025/09/05 04:17:20 2 276 7 14 -------
35* 2025/09/05 07:48:07 3 365 24 0 -0.0
36* 2025/09/05 08:48:07 3 207 10 330 81.4
37* 2025/09/05 09:24:17 3 338 5 113 36.6
38* 2025/09/05 17:36:07 2 242 6 268 -------
39* 2025/09/06 02:24:09 5 350 32 192 -1.2
40* 2025/09/06 04:00:07 2 52 5 451 -------
41* 2025/09/06 07:12:09 14 147 17 324 22.3
42* 2025/09/06 10:24:14 5 50 16 539 46.6
43* 2025/09/06 12:24:07 13 230 111 265 21.0
44* 2025/09/06 16:24:07 12 249 99 342 -4.3
45* 2025/09/06 19:00:08 5 249 31 198 21.3
46* 2025/09/06 19:24:07 11 269 71 308 18.4
47* 2025/09/06 23:00:07 9 339 352 139 11.6
48* 2025/09/07 03:00:08 6 279 20 581 -213.7
49* 2025/09/07 04:48:07 14 286 18 201 13.7
50* 2025/09/07 07:24:08 11 242 33 246 32.3
51* 2025/09/07 10:24:14 2 288 10 169 -------
52* 2025/09/07 10:24:14 4 131 5 43 2.5
53* 2025/09/07 11:24:07 4 289 9 214 -175.5
54* 2025/09/07 12:00:08 4 190 22 588 -321.6
55* 2025/09/07 13:25:27 13 133 6 135 2.5
56* 2025/09/07 17:12:09 2 134 6 53 -------
57* 2025/09/07 18:36:07 4 134 4 795 -765.0
58* 2025/09/07 19:36:08 3 184 34 345 21.5
59* 2025/09/07 22:36:08 3 174 14 256 328.4
60* 2025/09/08 00:00:08 2 198 11 150 -------
61* 2025/09/08 00:48:07 2 200 6 186 -------
62* 2025/09/08 05:00:07 3 221 7 16 22.5
63* 2025/09/08 07:00:07 3 76 8 21 -14.9
64* 2025/09/08 07:24:07 8 190 10 372 -21.8
65* 2025/09/08 11:24:07 3 172 8 436 -365.4
66* 2025/09/09 00:48:07 14 344 30 254 7.4
67* 2025/09/09 01:48:09 9 156 13 214 -9.1
68* 2025/09/09 04:12:07 11 344 29 273 0.3
69* 2025/09/09 07:12:07 6 349 15 273 -29.4
70* 2025/09/09 08:00:07 12 343 27 244 2.7
71* 2025/09/09 11:24:07 5 350 12 207 -35.2
72* 2025/09/09 12:24:08 7 293 85 489 23.7
73* 2025/09/09 12:48:07 6 220 40 414 73.3
74* 2025/09/09 14:36:07 4 315 35 426 -149.5
75* 2025/09/09 14:48:07 10 228 28 221 2.5
76* 2025/09/09 16:12:07 14 289 48 299 18.0
77* 2025/09/09 19:36:07 2 313 8 430 -------
78* 2025/09/09 19:36:07 8 301 19 339 -13.1
79* 2025/09/09 20:12:07 3 317 7 279 -89.2
80* 2025/09/10 01:25:53 4 78 9 171 36.4
81* 2025/09/10 03:12:08 9 300 13 176 -4.2
82* 2025/09/10 05:12:09 4 340 7 938 699.7
83* 2025/09/10 08:12:07 3 149 38 285 484.0
84* 2025/09/10 09:12:07 4 335 8 180 97.2
85* 2025/09/10 09:48:07 3 311 21 634 60.7
86* 2025/09/10 11:01:27 14 336 17 223 -6.0
87* 2025/09/10 14:36:07 16 339 12 254 5.8
88* 2025/09/10 18:00:07 10 337 6 165 -28.6
89* 2025/09/10 18:12:07 2 186 5 472 -------
90* 2025/09/11 00:00:07 15 341 17 209 -0.3
91* 2025/09/11 04:00:07 10 339 17 544 -2.7
92* 2025/09/11 06:36:07 12 344 30 391 -21.0
93* 2025/09/11 09:24:07 4 339 12 254 -101.6
94* 2025/09/11 09:24:07 9 173 32 205 7.9
95* 2025/09/11 11:24:07 2 342 5 698 -------
96* 2025/09/11 11:48:07 7 96 17 329 -0.1
97* 2025/09/11 12:00:07 12 343 7 206 5.0
98* 2025/09/11 15:36:07 9 344 6 129 -34.1
99* 2025/09/11 15:36:07 14 100 35 327 -15.7
100* 2025/09/11 18:36:07 12 96 31 336 0.6
101* 2025/09/12 01:36:23 8 111 23 254 5.6
102* 2025/09/12 02:48:07 2 347 7 166 -------
103* 2025/09/12 04:28:21 2 349 6 122 -------
104* 2025/09/12 04:49:28 6 287 17 594 105.6
105* 2025/09/12 06:36:07 6 323 23 579 12.8
106* 2025/09/12 07:36:07 5 175 6 108 -1.0
107* 2025/09/12 08:00:08 2 350 7 441 -------
108* 2025/09/12 09:12:07 4 174 5 110 -66.1
109* 2025/09/12 12:24:07 2 311 6 161 -------
110* 2025/09/12 14:36:07 3 173 7 430 -119.6
111* 2025/09/12 15:00:07 13 196 87 375 25.2
112* 2025/09/12 17:48:08 3 181 51 43 14.9
113* 2025/09/12 18:36:07 5 181 45 387 -57.6
114* 2025/09/13 00:36:07 6 258 13 363 10.3
115* 2025/09/13 01:25:51 7 331 26 769 42.1
116* 2025/09/13 02:12:07 11 175 14 127 -7.8
117* 2025/09/13 05:00:08 5 173 12 264 228.7
118* 2025/09/13 05:36:07 10 174 31 425 19.5
119* 2025/09/13 08:12:07 6 171 11 234 20.0
120* 2025/09/13 09:12:09 5 83 21 315 -15.4
121* 2025/09/13 11:12:10 5 83 28 818 145.0
122* 2025/09/13 12:12:07 8 289 25 530 -64.6
123* 2025/09/13 15:00:07 5 72 16 331 -49.1
124* 2025/09/13 15:48:07 12 98 8 386 43.8
125* 2025/09/13 17:00:07 5 318 13 519 -3.2
126* 2025/09/13 21:24:07 2 100 5 279 -------
127* 2025/09/13 21:24:07 3 295 8 371 -67.3
128* 2025/09/14 01:48:07 14 151 7 211 6.6
129* 2025/09/14 03:12:07 3 292 22 188 82.9
130* 2025/09/14 08:00:07 6 200 10 263 23.1
131* 2025/09/14 09:24:07 7 66 85 441 -23.8
132* 2025/09/14 11:48:07 13 51 102 300 22.9
133* 2025/09/14 15:00:07 4 66 75 314 -74.7
134* 2025/09/14 16:00:07 7 61 22 427 102.3
135* 2025/09/14 17:36:07 16 73 28 235 2.3
136* 2025/09/14 20:00:08 7 118 21 396 7.3
137* 2025/09/15 00:00:08 17 86 32 212 3.3
138* 2025/09/15 02:12:07 4 174 9 417 27.6
139* 2025/09/15 04:24:08 9 87 26 200 21.5
140* 2025/09/15 05:36:07 4 347 16 549 93.6
141* 2025/09/15 07:00:07 3 86 7 880 -685.1
142* 2025/09/15 08:12:07 5 87 5 792 288.4
143* 2025/09/15 09:36:07 5 34 13 135 20.9
144* 2025/09/15 11:00:52 11 86 33 280 -6.9
145* 2025/09/15 14:12:07 6 86 16 325 -34.0
146* 2025/09/15 16:12:07 2 89 5 279 -------
147* 2025/09/15 16:48:07 3 74 8 134 -37.4
148* 2025/09/15 18:12:08 13 87 31 357 19.0
149* 2025/09/16 00:48:07 10 304 17 125 18.7
150* 2025/09/16 04:24:07 2 96 25 182 -------
151* 2025/09/16 04:24:07 2 162 12 182 -------
152* 2025/09/16 04:36:07 9 148 55 276 5.7
153* 2025/09/16 07:12:07 3 80 40 183 -253.4
154* 2025/09/16 08:12:07 2 70 13 968 -------
155* 2025/09/16 08:12:07 3 99 11 9 -7.5
156* 2025/09/16 12:12:09 35 93 84 123 0.5
157* 2025/09/16 20:12:07 15 87 62 186 -8.0
158* 2025/09/17 00:00:07 18 92 47 128 -8.6
159* 2025/09/17 04:12:09 5 93 20 247 12.7
160* 2025/09/17 04:48:07 11 119 26 183 -20.8
161* 2025/09/17 07:36:07 2 240 26 269 -------
162* 2025/09/17 08:12:07 3 90 11 317 22.4
163* 2025/09/17 08:12:07 11 241 31 45 -0.7
164* 2025/09/17 08:48:07 3 102 5 876 -933.8
165* 2025/09/17 10:36:08 13 76 40 184 -1.6
166* 2025/09/17 12:12:07 3 243 32 64 29.9
167* 2025/09/17 13:48:07 20 245 63 137 0.7
168* 2025/09/17 14:36:07 3 78 16 570 313.9
169* 2025/09/17 17:24:08 7 90 19 271 -54.7
170* 2025/09/17 19:00:07 12 107 48 360 -13.3
171* 2025/09/17 19:36:08 7 48 7 475 73.6
172* 2025/09/17 20:00:07 4 326 9 104 -72.2
173* 2025/09/18 00:00:07 3 326 7 150 89.7
174* 2025/09/18 00:00:07 5 86 82 377 115.9
175* 2025/09/18 01:25:50 8 328 11 118 18.5
176* 2025/09/18 01:36:26 10 109 24 422 -9.4
177* 2025/09/18 03:12:07 9 55 17 401 92.1
178* 2025/09/18 03:12:07 19 329 11 40 0.4
179* 2025/09/18 03:24:07 2 227 7 150 -------
180* 2025/09/18 03:48:07 3 112 11 1867 -1577.1
181* 2025/09/18 04:12:07 8 229 9 219 -24.7
182* 2025/09/18 05:00:07 2 108 6 64 -------
183* 2025/09/18 05:24:08 2 55 14 53 -------
184* 2025/09/18 06:24:10 17 282 32 191 -2.9
185* 2025/09/18 09:36:07 5 234 14 67 -1.6
186* 2025/09/18 11:12:08 12 276 44 264 16.1
187* 2025/09/18 11:36:07 2 52 8 85 -------
188* 2025/09/18 12:00:07 14 235 16 240 22.0
189* 2025/09/18 15:24:07 2 234 11 236 -------
190* 2025/09/18 15:36:08 10 67 50 600 30.0
191* 2025/09/18 16:24:07 2 237 17 290 -------
192* 2025/09/18 17:48:07 5 63 56 744 134.5
193* 2025/09/18 18:48:07 13 239 24 337 1.1
194* 2025/09/18 19:00:07 4 68 18 273 -29.9
195* 2025/09/19 00:00:07 5 93 60 461 -23.0
196* 2025/09/19 02:00:07 25 243 28 80 -0.8
197* 2025/09/19 02:24:07 2 71 13 231 -------
198* 2025/09/19 02:48:07 9 98 32 210 26.3
199* 2025/09/19 07:12:07 3 74 16 236 -134.6
200* 2025/09/19 10:24:20 11 80 19 293 10.4
201* 2025/09/19 13:25:52 6 59 11 580 -21.0
202* 2025/09/19 15:00:07 2 242 5 182 -------
203* 2025/09/19 16:11:55 8 249 19 153 -13.3
204* 2025/09/19 18:12:09 5 243 8 192 1.0
205* 2025/09/19 22:00:07 3 260 5 193 29.7
206* 2025/09/20 00:00:07 18 48 72 170 3.6
207* 2025/09/20 04:12:07 25 45 23 175 -1.1
208* 2025/09/20 04:36:08 4 84 6 273 -119.7
209* 2025/09/20 09:12:08 4 249 5 408 -30.4
210* 2025/09/20 09:48:08 3 45 11 180 -37.8
211* 2025/09/20 14:00:07 8 231 13 484 94.3
212* 2025/09/20 14:24:07 3 49 16 903 779.1
213* 2025/09/20 15:48:07 2 47 12 64 -------
214* 2025/09/20 15:48:07 9 232 13 287 -35.8
215* 2025/09/20 16:36:07 5 251 5 367 -92.9
216* 2025/09/20 18:12:07 4 254 6 200 97.2
217* 2025/09/20 19:36:07 9 257 14 283 80.2
218* 2025/09/21 00:36:07 8 185 7 190 -6.1
219* 2025/09/21 03:00:07 2 186 6 225 -------
220* 2025/09/21 03:24:07 16 96 12 229 2.6
221* 2025/09/21 05:48:07 2 188 9 71 -------
222* 2025/09/21 07:36:07 3 99 6 252 -37.4
223* 2025/09/21 07:48:07 3 346 4 75 14.9
224* 2025/09/21 08:48:08 3 92 7 371 -157.5
225* 2025/09/21 09:24:07 2 232 5 21 -------
226* 2025/09/21 11:12:09 3 160 7 452 358.9
227* 2025/09/21 11:24:07 2 189 5 419 -------
228* 2025/09/21 12:00:07 13 192 12 181 -18.0
229* 2025/09/21 12:36:07 3 92 5 249 45.6
230* 2025/09/21 13:36:26 2 73 5 541 -------
231* 2025/09/21 13:36:26 4 347 4 101 -11.1
232* 2025/09/21 14:12:08 12 124 50 351 56.4
233* 2025/09/21 15:00:07 7 348 7 122 28.0
234* 2025/09/21 17:00:07 2 193 5 483 -------
235* 2025/09/21 17:00:07 11 348 5 151 1.6
236* 2025/09/21 17:24:07 3 262 23 172 89.7
237* 2025/09/21 17:48:07 10 233 7 214 11.2
238* 2025/09/21 18:48:07 10 102 16 228 20.8
239* 2025/09/21 20:00:07 3 349 5 484 -253.2
240* 2025/09/21 20:24:07 9 25 23 312 62.2
241* 2025/09/21 21:00:10 4 331 46 143 18.5
242* 2025/09/21 21:48:07 5 101 16 573 69.4
243* 2025/09/21 23:00:09 3 22 14 388 -134.9
244* 2025/09/22 00:00:07 5 245 76 411 -85.4
245* 2025/09/22 01:36:31 2 321 24 478 -------
246* 2025/09/22 01:36:31 3 229 19 142 -19.0
247* 2025/09/22 02:24:07 4 232 24 501 -67.1
248* 2025/09/22 03:24:08 16 39 16 179 -9.4
249* 2025/09/22 04:00:07 2 234 8 1119 -------
250* 2025/09/22 04:12:07 3 322 8 446 425.0
251* 2025/09/22 04:36:08 7 307 18 141 -15.5
252* 2025/09/22 05:12:07 6 228 11 78 -25.2
253* 2025/09/22 07:12:07 15 38 16 229 6.5
254* 2025/09/22 07:12:07 25 234 23 121 5.9
255* 2025/09/22 07:36:08 2 94 6 301 -------
256* 2025/09/22 09:12:07 4 102 12 398 -29.9
257* 2025/09/22 11:12:08 38 45 45 117 -4.3
258* 2025/09/22 14:24:07 2 238 9 430 -------
259* 2025/09/22 15:00:07 4 240 8 120 -29.8
260* 2025/09/22 20:12:07 7 38 36 583 -231.5
261* 2025/09/23 00:00:08 8 354 71 135 4.9
262* 2025/09/23 02:36:07 7 356 74 216 -32.2
263* 2025/09/23 05:00:07 6 355 76 147 -17.0
264* 2025/09/23 06:48:07 9 347 29 283 17.1
265* 2025/09/23 08:24:07 7 216 14 119 10.7
266* 2025/09/23 08:48:07 4 350 18 157 -44.8
267* 2025/09/23 13:36:26 4 29 11 69 -16.2
268* 2025/09/23 13:48:07 2 350 10 53 -------
269* 2025/09/23 14:24:07 12 351 16 317 -2.0
270* 2025/09/23 15:24:07 4 29 10 1510 515.0
271* 2025/09/23 16:00:08 3 157 16 333 463.7
272* 2025/09/23 18:12:07 8 162 10 124 4.5
273* 2025/09/23 19:00:07 6 361 11 418 -61.7
274* 2025/09/23 19:48:07 15 162 11 125 -2.7
275* 2025/09/23 20:48:07 3 117 8 452 62.3
276* 2025/09/23 21:36:07 6 5 10 241 -37.3
277* 2025/09/23 22:36:07 3 41 10 34 12.5
278* 2025/09/24 00:00:07 3 247 15 430 254.1
279* 2025/09/24 00:24:07 12 39 12 30 -0.4
280* 2025/09/24 00:24:07 21 164 16 220 -4.9
281* 2025/09/24 02:48:07 11 59 15 53 0.4
282* 2025/09/24 03:36:07 25 23 12 75 0.4
283* 2025/09/24 05:12:07 14 167 17 224 15.7
284* 2025/09/24 05:24:07 2 245 5 483 -------
285* 2025/09/24 13:25:53 7 183 42 225 -17.9
286* 2025/09/24 14:36:07 7 243 24 733 -33.9
287* 2025/09/24 15:00:08 2 178 24 194 -------
288* 2025/09/24 15:48:07 4 186 38 777 -470.9
289* 2025/09/24 16:12:07 2 231 25 1226 -------
290* 2025/09/24 21:36:07 18 174 12 119 -6.5
291* 2025/09/25 00:36:07 5 67 9 173 -45.6
292* 2025/09/25 02:00:07 15 177 10 182 -7.3
293* 2025/09/25 05:12:07 11 178 9 122 -1.6
294* 2025/09/25 07:12:07 3 233 7 780 -201.8
295* 2025/09/25 07:36:07 6 250 10 737 39.6
296* 2025/09/25 08:12:08 20 181 11 68 9.4
297* 2025/09/25 08:36:37 4 208 14 363 -73.9
298* 2025/09/25 09:24:08 3 55 8 543 6.4
299* 2025/09/25 09:48:08 7 232 13 394 38.0
300* 2025/09/25 11:12:10 4 196 8 195 -26.5
301* 2025/09/25 12:24:08 3 111 10 371 -23.1
302* 2025/09/25 13:48:07 3 226 6 236 -269.1
303* 2025/09/25 14:00:07 23 184 15 179 4.3
304* 2025/09/25 16:12:07 14 198 43 234 -27.6
305* 2025/09/25 19:12:07 8 202 41 390 62.7
306* 2025/09/25 20:12:07 6 82 19 108 10.4
307* 2025/09/26 00:00:08 32 193 20 72 1.1
308* 2025/09/26 00:12:07 29 82 22 88 3.0
309* 2025/09/26 08:48:27 22 62 70 150 -3.0
310* 2025/09/26 11:48:07 26 202 19 125 -1.2
311* 2025/09/26 14:36:52 2 14 7 15 -------
312* 2025/09/26 16:00:07 13 79 25 49 5.2
313* 2025/09/26 18:12:07 9 204 19 136 -7.1
314* 2025/09/26 19:36:07 3 107 11 151 27.4
315* 2025/09/27 00:00:07 8 78 32 262 -32.9
316* 2025/09/27 00:00:07 13 208 17 103 8.4
317* 2025/09/27 03:00:07 6 95 15 971 -36.0
318* 2025/09/27 03:48:07 2 212 30 1409 -------
319* 2025/09/27 04:12:07 4 103 7 491 152.8
320* 2025/09/27 04:12:07 11 74 22 67 -12.2
321* 2025/09/27 05:12:07 9 207 11 65 -9.4
322* 2025/09/27 07:00:07 3 99 8 1124 -784.8
323* 2025/09/27 07:24:07 6 100 49 935 214.9
324* 2025/09/27 08:48:07 9 88 28 240 -16.8
325* 2025/09/27 09:36:08 2 207 7 194 -------
326* 2025/09/27 11:36:08 29 75 24 45 0.2
327* 2025/09/27 16:12:07 5 271 5 289 7.5
328* 2025/09/27 17:00:07 3 44 6 204 -283.2
329* 2025/09/27 17:24:07 15 339 24 382 0.6
330* 2025/09/27 18:12:07 7 103 54 640 16.5
331* 2025/09/27 19:48:07 4 75 19 135 141.3
332* 2025/09/27 20:24:09 6 51 33 271 12.7
333* 2025/09/27 21:00:07 4 77 17 252 -71.0
334* 2025/09/28 00:48:07 3 78 20 19 27.1
335* 2025/09/28 00:48:07 9 351 5 112 4.0
336* 2025/09/28 03:00:07 5 276 14 301 12.7
337* 2025/09/28 03:12:07 6 353 4 178 -11.7
338* 2025/09/28 03:48:08 5 53 6 136 18.1
339* 2025/09/28 04:12:07 3 274 12 532 201.0
340* 2025/09/28 04:48:07 4 66 26 880 396.1
341* 2025/09/28 06:24:10 9 82 28 520 31.1
342* 2025/09/28 06:36:07 2 72 6 21 -------
343* 2025/09/28 07:48:07 3 219 35 247 223.7
344* 2025/09/28 08:24:07 16 89 65 171 -8.5
345* 2025/09/28 11:12:09 3 220 39 274 216.8
346* 2025/09/28 12:36:07 4 57 22 225 27.5
347* 2025/09/28 13:25:53 7 90 10 316 83.8
348* 2025/09/28 15:00:08 3 3 6 688 432.2
349* 2025/09/28 15:24:08 4 55 7 119 3.7
350* 2025/09/28 15:48:08 6 3 5 183 -49.7
351* 2025/09/28 16:24:07 4 83 5 582 26.2
352* 2025/09/28 17:12:07 16 90 19 256 -19.8
353* 2025/09/28 18:00:07 2 4 5 484 -------
354* 2025/09/28 18:12:07 8 235 17 186 6.1
355* 2025/09/28 19:12:07 3 5 4 522 665.2
356* 2025/09/28 20:24:07 9 120 29 619 8.3
357* 2025/09/28 22:00:07 4 88 6 90 -89.7
358* 2025/09/29 00:00:07 4 88 32 1057 921.8
359* 2025/09/29 00:24:07 3 2 4 156 -52.0
360* 2025/09/29 01:48:07 2 238 10 386 -------
361* 2025/09/29 02:12:07 5 128 19 1000 293.7
362* 2025/09/29 02:12:07 17 87 40 244 15.4
363* 2025/09/29 06:24:10 3 91 13 64 -90.3
364* 2025/09/29 07:00:07 4 79 15 153 -78.5
365* 2025/09/29 07:00:07 7 235 18 140 -51.9
366* 2025/09/29 08:12:08 13 79 21 87 -3.6
367* 2025/09/29 11:12:09 5 119 8 382 20.2
368* 2025/09/29 12:12:07 9 88 43 464 -1.5
369* 2025/09/29 13:36:24 6 238 20 157 -36.9
370* 2025/09/29 15:00:07 8 123 16 618 57.9
371* 2025/09/29 16:36:08 2 72 5 21 -------
372* 2025/09/29 16:36:08 2 238 15 420 -------
373* 2025/09/29 17:12:07 2 73 7 118 -------
374* 2025/09/29 17:12:07 5 179 359 415 -53.0
375* 2025/09/29 18:24:07 13 239 16 181 30.4
376* 2025/09/29 18:36:07 6 102 12 595 103.0
377* 2025/09/29 21:24:08 3 19 5 328 36.4
378* 2025/09/29 22:12:07 3 190 6 333 209.3
379* 2025/09/30 00:00:07 3 243 27 354 -45.1
380* 2025/09/30 00:48:07 10 249 27 36 -7.1
381* 2025/09/30 04:00:08 18 243 18 144 -8.7
382* 2025/09/30 05:12:07 3 194 6 586 -246.6
383* 2025/09/30 05:24:07 2 69 5 161 -------
384* 2025/09/30 09:24:07 11 317 322 307 -18.8
385* 2025/09/30 12:36:07 3 281 24 418 34.8
386* 2025/09/30 12:36:07 10 251 46 162 26.4
387* 2025/09/30 16:00:07 2 206 15 355 -------
388* 2025/09/30 16:12:07 3 265 18 419 -14.1
389* 2025/09/30 16:24:08 7 246 10 270 -49.7
390* 2025/09/30 17:00:09 12 263 52 293 17.8
391* 2025/09/30 19:36:07 2 43 10 290 -------
392* 2025/09/30 19:36:07 3 245 8 161 -59.8
</td>


Curators: Jie Zhang (jzhang7 AT gmu.edu); Suman Dhakal (sdhakal2 AT gmu.edu);
Last updated: 2020/04