2025/12


The table on the right is a monthly calender with links to daily movies. The top number is the day and the lower number is the number of CMEs that were detected on that day.

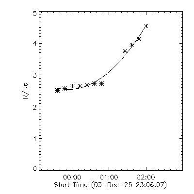
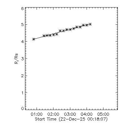
The table below gives the basic attributes of a CME. A Text version of the measurements can be found in links under the Start Time and Javascript movies can be found in the third column.
Daily Table of Movies


1*
11
2*
1
3*
17
4*
8
5*
16
6*
14
7*
13
8*
19
9*
7
10*
19
11*
6
12*
5
13*
5
14*
14
15*
21
16*
20
17*
18
18*
6
19*
4
20*
15
21*
9
22*
8
23*
9
24*
3
25*
12
26*
11
27*
17
28*
13
29*
9
30*
14
31*
24










 (*)An asterisk denotes days in which only quicklook data is available

     Previous Month                    Next Month


Event of width greater than 120 degrees
Event of width between 60 and 120 degrees
Event of width less than 60 degrees


read me
All data in txt format
# of Detections per day in txt format
# of Images per day in txt format

# Start Time Event Movie
(# of Frames)
Central PA (deg) Angular Width (deg) Linear Fit (km/s) 2nd Order Fit (m/s2)
1* 2025/12/01 00:36:07 9 287 19 83 -14.6
2* 2025/12/01 01:25:29 2 34 6 388 -------
3* 2025/12/01 01:25:29 3 94 9 80 77.2
4* 2025/12/01 02:00:08 4 234 10 243 37.4
5* 2025/12/01 02:00:08 11 72 121 305 42.5
6* 2025/12/01 03:36:07 3 157 18 780 -7.5
7* 2025/12/01 04:00:07 3 355 24 811 -311.4
8* 2025/12/01 04:36:07 7 26 53 422 -33.9
9* 2025/12/01 04:36:07 7 103 29 543 30.0
10* 2025/12/01 06:48:09 12 100 38 336 4.1
11* 2025/12/01 09:12:07 3 153 16 48 -52.3
12* 2025/12/02 00:36:07 4 18 16 153 -1.5
13* 2025/12/03 00:23:17 11 391 112 394 48.5
14* 2025/12/03 02:40:47 15 83 33 398 -1.9
15* 2025/12/03 05:29:19 2 90 21 2513 -------
16* 2025/12/03 06:00:57 2 186 6 49 -------
17* 2025/12/03 06:00:57 3 92 18 1042 -934.0
18* 2025/12/03 06:43:04 8 96 14 583 -88.7
19* 2025/12/03 06:43:04 10 185 10 137 11.9
20* 2025/12/03 08:17:56 2 98 9 514 -------
21* 2025/12/03 08:17:56 9 249 67 262 -0.5
22* 2025/12/03 09:31:46 5 102 8 517 52.7
23* 2025/12/03 10:03:23 4 181 9 174 -12.4
24* 2025/12/03 10:03:23 12 237 226 168 65.1
25* 2025/12/03 12:50:27 11 260 107 280 9.5
26* 2025/12/03 14:57:03 10 261 110 224 -6.9
27* 2025/12/03 17:24:07 2 279 23 612 -------
28* 2025/12/03 17:24:07 6 212 42 153 -0.8
29* 2025/12/03 23:36:07 11 295 27 163 24.4
30* 2025/12/04 01:25:56 3 171 5 214 -128.8
31* 2025/12/04 02:00:07 20 86 67 178 -6.5
32* 2025/12/04 06:36:07 2 99 17 839 -------
33* 2025/12/04 07:12:07 15 146 75 288 1.0
34* 2025/12/04 11:12:08 8 290 14 399 -46.9
35* 2025/12/04 11:24:07 7 168 19 622 98.6
36* 2025/12/04 11:48:07 5 202 23 349 -240.2
37* 2025/12/04 12:24:07 2 258 31 731 -------
38* 2025/12/05 00:00:07 2 104 22 118 -------
39* 2025/12/05 00:36:07 2 103 26 333 -------
40* 2025/12/05 01:26:27 16 278 49 177 15.9
41* 2025/12/05 06:36:07 9 271 35 132 -14.9
42* 2025/12/05 08:12:07 2 213 38 301 -------
43* 2025/12/05 09:12:07 3 269 36 119 -22.5
44* 2025/12/05 11:12:09 7 263 14 224 -13.1
45* 2025/12/05 11:24:07 19 37 15 172 -5.8
46* 2025/12/05 13:25:57 8 264 22 282 25.5
47* 2025/12/05 14:48:07 7 355 14 175 25.5
48* 2025/12/05 15:12:07 5 255 8 164 -3.2
49* 2025/12/05 16:00:07 4 269 7 412 71.0
50* 2025/12/05 16:00:07 9 98 11 136 -2.7
51* 2025/12/05 16:36:07 13 355 28 300 -6.2
52* 2025/12/05 18:36:07 8 104 9 443 53.4
53* 2025/12/05 20:00:08 11 326 78 366 5.1
54* 2025/12/06 00:00:07 7 268 25 329 -89.3
55* 2025/12/06 00:00:07 8 353 31 146 -2.0
56* 2025/12/06 02:00:08 10 270 27 242 10.0
57* 2025/12/06 03:12:07 14 353 26 255 -18.9
58* 2025/12/06 06:36:08 40 78 59 50 0.9
59* 2025/12/06 06:48:08 2 345 5 107 -------
60* 2025/12/06 07:12:07 4 353 18 679 586.7
61* 2025/12/06 08:12:07 3 347 7 166 -171.3
62* 2025/12/06 09:36:08 2 287 5 355 -------
63* 2025/12/06 18:12:08 8 94 31 299 0.7
64* 2025/12/06 18:48:07 4 17 17 177 33.6
65* 2025/12/06 19:36:07 8 288 41 230 23.2
66* 2025/12/06 20:12:08 4 26 38 302 63.6
67* 2025/12/06 21:36:08 4 205 24 491 171.9
68* 2025/12/07 00:00:07 3 8 17 37 37.4
69* 2025/12/07 00:24:07 11 111 13 170 1.3
70* 2025/12/07 02:24:09 4 89 11 323 -4.3
71* 2025/12/07 03:12:07 7 112 7 390 75.6
72* 2025/12/07 03:12:07 14 6 11 85 -5.0
73* 2025/12/07 06:24:11 10 108 35 453 21.7
74* 2025/12/07 08:12:07 17 240 60 238 13.5
75* 2025/12/07 12:00:07 8 295 30 469 25.9
76* 2025/12/07 14:24:07 3 308 12 1544 -97.2
77* 2025/12/07 14:48:07 3 211 5 188 202.5
78* 2025/12/07 15:00:09 12 115 25 47 -2.6
79* 2025/12/07 17:24:07 9 291 14 251 38.4
80* 2025/12/07 18:48:07 11 118 61 187 12.1
81* 2025/12/08 00:00:07 5 119 34 212 41.7
82* 2025/12/08 00:36:07 2 294 11 172 -------
83* 2025/12/08 01:25:56 4 10 20 273 41.8
84* 2025/12/08 02:36:07 4 306 39 984 -908.1
85* 2025/12/08 03:00:07 8 237 38 291 -22.2
86* 2025/12/08 04:48:07 6 114 32 371 75.3
87* 2025/12/08 05:24:07 6 304 53 726 60.5
88* 2025/12/08 07:24:07 12 361 62 288 10.7
89* 2025/12/08 10:36:09 3 297 26 148 178.8
90* 2025/12/08 10:36:09 4 239 11 219 8.0
91* 2025/12/08 11:12:11 14 179 359 129 17.6
92* 2025/12/08 12:24:08 5 353 6 103 -28.6
93* 2025/12/08 12:36:07 2 300 10 398 -------
94* 2025/12/08 14:48:07 15 365 50 233 1.7
95* 2025/12/08 19:00:07 12 359 49 394 -27.1
96* 2025/12/08 21:36:07 2 358 47 53 -------
97* 2025/12/08 22:12:07 2 357 49 86 -------
98* 2025/12/08 23:00:09 2 352 13 269 -------
99* 2025/12/08 23:36:07 10 265 89 351 -1.5
100* 2025/12/09 02:00:07 3 339 12 317 -51.7
101* 2025/12/09 02:00:07 3 359 15 220 -66.8
102* 2025/12/09 02:36:07 7 220 61 255 27.3
103* 2025/12/09 04:00:09 5 350 18 617 -353.1
104* 2025/12/09 04:48:07 6 295 21 595 159.2
105* 2025/12/09 07:00:07 4 337 19 294 -81.8
106* 2025/12/09 07:36:07 10 295 18 262 9.0
107* 2025/12/10 00:24:07 3 230 16 877 964.2
108* 2025/12/10 00:24:07 6 46 9 33 23.4
109* 2025/12/10 00:36:07 8 244 41 371 47.3
110* 2025/12/10 02:00:07 10 173 20 226 11.7
111* 2025/12/10 03:36:07 6 242 40 734 10.1
112* 2025/12/10 04:48:07 13 41 12 256 -11.9
113* 2025/12/10 05:00:07 2 247 22 172 -------
114* 2025/12/10 06:36:07 2 249 6 21 -------
115* 2025/12/10 07:24:08 11 166 16 269 -10.3
116* 2025/12/10 09:36:07 2 237 11 172 -------
117* 2025/12/10 10:36:08 3 262 27 150 34.9
118* 2025/12/10 11:12:09 9 161 10 216 -25.9
119* 2025/12/10 13:25:56 2 174 5 293 -------
120* 2025/12/10 14:00:07 14 250 87 264 24.5
121* 2025/12/10 17:12:07 12 240 17 192 -0.1
122* 2025/12/10 18:24:07 3 264 12 86 -74.6
123* 2025/12/10 19:00:07 9 276 25 74 17.9
124* 2025/12/10 20:48:08 2 258 5 59 -------
125* 2025/12/10 22:24:07 10 253 90 291 17.2
126* 2025/12/11 01:48:07 5 106 28 317 39.4
127* 2025/12/11 02:48:07 3 231 22 395 221.7
128* 2025/12/11 02:48:07 20 278 46 125 9.2
129* 2025/12/11 08:00:07 3 292 6 199 -261.6
130* 2025/12/11 08:12:07 4 229 14 167 67.3
131* 2025/12/11 10:36:09 6 283 32 236 22.3
132* 2025/12/12 00:48:07 15 135 52 25 0.4
133* 2025/12/12 05:36:07 7 249 77 405 37.7
134* 2025/12/12 07:12:07 21 140 89 85 2.0
135* 2025/12/12 18:48:07 8 179 38 157 -11.6
136* 2025/12/12 18:48:07 8 209 13 89 28.6
137* 2025/12/13 00:48:08 23 215 15 166 4.5
138* 2025/12/13 03:12:08 4 292 37 272 26.1
139* 2025/12/13 05:00:07 3 291 45 322 14.9
140* 2025/12/13 06:24:10 19 217 11 62 0.9
141* 2025/12/13 07:00:07 5 277 11 359 -224.2
142* 2025/12/14 00:36:07 4 76 8 107 -96.7
143* 2025/12/14 00:36:07 4 253 68 337 -301.5
144* 2025/12/14 02:00:07 24 222 17 133 -4.7
145* 2025/12/14 07:24:07 4 183 18 400 22.4
146* 2025/12/14 08:00:07 13 245 66 280 -10.7
147* 2025/12/14 11:36:07 15 237 32 318 -23.3
148* 2025/12/14 14:24:09 6 86 7 325 -4.7
149* 2025/12/14 15:12:07 13 234 14 140 -1.7
150* 2025/12/14 15:48:07 4 87 9 113 -18.7
151* 2025/12/14 16:48:07 10 87 8 189 -12.8
152* 2025/12/14 18:12:07 4 234 7 419 231.7
153* 2025/12/14 19:12:07 6 236 11 399 92.5
154* 2025/12/14 20:36:07 5 234 5 104 -69.4
155* 2025/12/14 21:48:08 12 245 55 198 2.6
156* 2025/12/15 00:36:07 7 236 99 450 33.5
157* 2025/12/15 02:48:07 3 233 35 1770 -844.6
158* 2025/12/15 03:36:07 3 221 16 50 -64.6
159* 2025/12/15 04:12:07 14 241 41 144 11.2
160* 2025/12/15 07:48:07 24 88 11 115 0.2
161* 2025/12/15 09:48:08 2 238 20 153 -------
162* 2025/12/15 11:36:08 6 23 10 102 38.2
163* 2025/12/15 14:00:07 5 23 5 121 1.1
164* 2025/12/15 15:24:07 2 18 17 236 -------
165* 2025/12/15 16:12:07 2 89 9 129 -------
166* 2025/12/15 16:24:07 3 24 8 166 -81.9
167* 2025/12/15 17:12:07 5 23 10 297 -66.2
168* 2025/12/15 17:36:07 3 90 11 75 14.9
169* 2025/12/15 18:24:07 2 89 11 75 -------
170* 2025/12/15 18:24:07 4 22 11 38 -44.8
171* 2025/12/15 19:48:07 6 90 10 60 29.6
172* 2025/12/15 19:48:07 8 21 10 392 12.7
173* 2025/12/15 21:36:07 3 89 10 116 -84.7
174* 2025/12/15 22:12:07 7 108 8 423 62.6
175* 2025/12/15 23:24:07 7 22 10 638 23.3
176* 2025/12/15 23:36:07 3 89 13 172 180.0
177* 2025/12/16 00:48:07 4 106 6 353 -63.4
178* 2025/12/16 01:25:51 9 32 41 444 40.6
179* 2025/12/16 02:00:07 2 274 5 53 -------
180* 2025/12/16 02:36:07 7 273 5 252 21.2
181* 2025/12/16 02:48:07 12 93 13 50 4.8
182* 2025/12/16 03:24:08 11 20 9 181 34.3
183* 2025/12/16 04:12:07 4 106 5 398 -6.5
184* 2025/12/16 06:24:10 3 92 6 43 -60.2
185* 2025/12/16 06:24:10 5 271 6 101 23.5
186* 2025/12/16 06:24:10 12 19 9 80 -2.9
187* 2025/12/16 07:24:07 5 75 6 336 -13.9
188* 2025/12/16 08:12:07 4 107 6 320 74.7
189* 2025/12/16 09:00:07 11 19 7 241 36.5
190* 2025/12/16 09:12:07 2 93 9 387 -------
191* 2025/12/16 11:00:53 7 91 7 167 -48.6
192* 2025/12/16 12:24:08 7 17 8 96 14.0
193* 2025/12/16 15:12:07 4 16 8 48 -26.2
194* 2025/12/16 15:36:07 3 95 18 435 -485.8
195* 2025/12/16 22:00:07 2 76 5 247 -------
196* 2025/12/16 23:00:10 6 226 6 200 -46.3
197* 2025/12/17 00:00:07 6 268 12 400 22.3
198* 2025/12/17 01:25:50 3 9 19 260 -390.5
199* 2025/12/17 02:00:07 14 369 95 280 14.7
200* 2025/12/17 05:00:07 6 378 91 183 -34.7
201* 2025/12/17 06:48:07 13 45 72 264 8.2
202* 2025/12/17 09:36:07 5 43 68 149 -50.1
203* 2025/12/17 11:36:07 8 70 38 334 -20.7
204* 2025/12/17 13:48:07 3 202 8 408 -373.7
205* 2025/12/17 14:00:07 7 350 22 127 2.7
206* 2025/12/17 15:48:07 5 63 10 118 91.8
207* 2025/12/17 16:12:07 13 361 14 183 11.8
208* 2025/12/17 17:00:07 10 179 359 224 58.2
209* 2025/12/17 19:24:07 2 205 7 64 -------
210* 2025/12/17 19:24:07 7 81 29 100 -38.1
211* 2025/12/17 21:00:09 3 147 24 404 186.6
212* 2025/12/17 21:24:07 8 84 22 278 -1.9
213* 2025/12/17 23:36:07 4 152 7 173 41.1
214* 2025/12/17 23:36:07 20 87 47 106 -2.0
215* 2025/12/18 03:48:08 27 227 55 121 -0.2
216* 2025/12/18 09:48:07 6 227 56 410 -52.4
217* 2025/12/18 11:00:53 4 117 18 102 -6.1
218* 2025/12/18 12:12:07 12 179 359 340 -19.9
219* 2025/12/18 15:24:07 6 215 37 159 -7.3
220* 2025/12/18 17:00:07 24 105 51 91 -2.4
221* 2025/12/19 01:25:51 7 265 20 443 49.3
222* 2025/12/19 07:48:07 4 218 10 161 -97.2
223* 2025/12/19 18:12:07 3 218 5 166 -231.7
224* 2025/12/19 18:36:07 5 60 16 47 -29.9
225* 2025/12/20 00:36:07 2 219 6 1248 -------
226* 2025/12/20 02:12:07 3 218 7 182 -254.1
227* 2025/12/20 03:00:07 15 26 10 274 -5.9
228* 2025/12/20 06:36:07 10 28 12 293 1.9
229* 2025/12/20 08:24:07 12 86 68 287 -2.0
230* 2025/12/20 10:24:20 12 22 39 216 2.5
231* 2025/12/20 13:25:50 6 63 24 536 41.1
232* 2025/12/20 13:48:07 5 31 13 290 -87.6
233* 2025/12/20 14:48:08 3 74 6 349 -382.1
234* 2025/12/20 15:00:07 2 95 5 182 -------
235* 2025/12/20 15:24:07 5 27 12 456 -262.7
236* 2025/12/20 16:48:07 4 79 9 698 213.1
237* 2025/12/20 20:36:07 2 69 12 247 -------
238* 2025/12/20 22:24:07 2 228 15 322 -------
239* 2025/12/20 22:36:07 7 76 30 723 48.7
240* 2025/12/21 05:48:07 8 156 36 82 -9.3
241* 2025/12/21 07:24:08 12 29 13 169 14.5
242* 2025/12/21 11:00:53 5 151 31 130 -41.5
243* 2025/12/21 11:48:09 4 78 5 356 93.1
244* 2025/12/21 12:24:08 13 151 33 99 -1.8
245* 2025/12/21 15:36:07 5 66 10 559 19.9
246* 2025/12/21 16:36:07 8 148 27 41 1.6
247* 2025/12/21 19:36:07 7 145 21 136 37.7
248* 2025/12/21 20:48:08 12 80 22 377 -1.7
249* 2025/12/22 00:00:07 22 76 23 140 8.5
250* 2025/12/22 00:48:07 16 140 19 51 -0.0
251* 2025/12/22 03:48:07 30 87 107 143 4.5
252* 2025/12/22 11:12:10 10 74 59 306 -18.2
253* 2025/12/22 13:48:07 2 66 29 86 -------
254* 2025/12/22 14:24:07 2 65 38 570 -------
255* 2025/12/22 14:24:07 14 127 17 243 2.8
256* 2025/12/22 14:36:07 10 33 28 381 -53.1
257* 2025/12/23 01:02:00 11 34 51 205 -15.8
258* 2025/12/23 03:08:53 6 25 31 220 -1.9
259* 2025/12/23 04:33:30 4 26 27 176 -48.6
260* 2025/12/23 05:26:19 12 33 16 235 -13.1
261* 2025/12/23 07:43:50 16 36 12 266 -17.5
262* 2025/12/23 10:43:36 6 36 10 712 339.2
263* 2025/12/23 11:57:36 7 35 15 261 52.7
264* 2025/12/23 14:36:07 3 36 7 172 238.7
265* 2025/12/23 15:00:08 17 260 67 312 1.3
266* 2025/12/24 02:36:07 17 145 13 171 7.7
267* 2025/12/24 07:36:07 8 148 8 208 39.1
268* 2025/12/24 15:00:25 17 323 28 184 9.3
269* 2025/12/25 02:00:07 5 10 16 353 34.0
270* 2025/12/25 03:36:08 4 264 5 404 119.5
271* 2025/12/25 05:36:07 8 333 40 607 -5.0
272* 2025/12/25 07:48:08 11 342 14 209 3.1
273* 2025/12/25 08:12:07 18 9 10 142 -9.7
274* 2025/12/25 11:12:10 3 317 28 26 7.4
275* 2025/12/25 12:00:07 4 323 9 664 -145.7
276* 2025/12/25 13:25:51 10 7 8 340 -49.4
277* 2025/12/25 16:00:07 5 6 6 131 6.4
278* 2025/12/25 17:00:07 2 320 11 473 -------
279* 2025/12/25 17:12:07 7 5 7 95 -2.0
280* 2025/12/25 23:48:07 10 46 42 154 -5.3
281* 2025/12/26 00:36:07 2 143 12 21 -------
282* 2025/12/26 02:24:08 4 146 6 57 7.5
283* 2025/12/26 03:24:08 11 49 14 249 8.3
284* 2025/12/26 04:17:44 4 33 10 121 -9.2
285* 2025/12/26 08:12:07 2 134 5 269 -------
286* 2025/12/26 09:12:07 5 50 4 102 -68.4
287* 2025/12/26 11:36:07 3 105 13 86 -14.8
288* 2025/12/26 12:12:07 4 308 18 969 280.5
289* 2025/12/26 15:12:07 3 170 18 376 -74.7
290* 2025/12/26 19:48:07 3 99 6 252 -261.6
291* 2025/12/26 20:12:07 7 307 15 390 6.1
292* 2025/12/27 02:12:07 15 104 86 273 -3.6
293* 2025/12/27 05:48:07 19 96 62 188 6.0
294* 2025/12/27 11:12:08 6 90 19 793 270.4
295* 2025/12/27 11:24:07 6 158 8 235 -36.6
296* 2025/12/27 12:24:07 2 307 13 322 -------
297* 2025/12/27 12:36:07 2 85 8 134 -------
298* 2025/12/27 13:25:55 3 97 11 11 -18.2
299* 2025/12/27 14:48:07 3 98 6 91 -97.1
300* 2025/12/27 15:00:07 7 325 26 670 -10.3
301* 2025/12/27 15:36:07 3 93 18 145 -67.3
302* 2025/12/27 16:24:07 3 96 10 59 -82.2
303* 2025/12/27 16:48:07 7 302 18 608 74.4
304* 2025/12/27 18:12:08 3 84 12 85 7.5
305* 2025/12/27 18:36:08 3 63 5 64 14.9
306* 2025/12/27 19:24:07 9 87 25 173 17.2
307* 2025/12/27 21:12:07 8 70 21 108 -6.9
308* 2025/12/27 23:00:08 2 25 15 377 -------
309* 2025/12/28 00:00:07 2 56 47 172 -------
310* 2025/12/28 00:24:07 3 306 16 1377 284.0
311* 2025/12/28 00:36:07 2 62 12 96 -------
312* 2025/12/28 00:48:07 4 339 7 371 138.2
313* 2025/12/28 02:12:07 3 340 7 607 633.8
314* 2025/12/28 02:48:07 4 135 13 15 -7.5
315* 2025/12/28 03:48:07 3 134 12 33 54.8
316* 2025/12/28 05:00:07 20 337 21 161 -2.0
317* 2025/12/28 08:00:07 2 136 6 118 -------
318* 2025/12/28 09:36:07 16 348 10 60 -3.2
319* 2025/12/28 10:36:08 11 332 15 153 -15.9
320* 2025/12/28 13:25:53 14 327 56 338 -37.3
321* 2025/12/28 17:24:07 2 339 6 172 -------
322* 2025/12/29 00:00:07 6 309 116 362 -13.5
323* 2025/12/29 02:00:07 13 292 20 154 15.4
324* 2025/12/29 02:36:08 3 27 10 156 127.1
325* 2025/12/29 03:00:07 2 313 13 290 -------
326* 2025/12/29 03:36:07 6 317 17 154 -23.7
327* 2025/12/29 05:00:07 9 312 30 182 -11.3
328* 2025/12/29 08:36:08 10 112 24 306 7.7
329* 2025/12/29 15:36:07 8 122 39 790 -64.4
330* 2025/12/29 18:36:07 13 36 73 370 23.1
331* 2025/12/30 00:00:07 5 49 32 242 60.9
332* 2025/12/30 00:00:07 10 269 23 219 -6.8
333* 2025/12/30 02:36:09 18 345 9 219 -1.5
334* 2025/12/30 04:12:08 4 47 5 351 -7.8
335* 2025/12/30 07:12:07 3 108 24 1036 75.8
336* 2025/12/30 07:48:07 11 83 63 394 -9.0
337* 2025/12/30 11:00:52 5 56 17 295 48.4
338* 2025/12/30 11:00:52 11 68 40 189 -11.6
339* 2025/12/30 12:12:07 12 185 10 38 2.6
340* 2025/12/30 13:48:07 12 347 14 285 -11.8
341* 2025/12/30 15:36:07 14 183 9 64 3.8
342* 2025/12/30 17:36:07 3 348 7 231 322.3
343* 2025/12/30 18:12:07 17 130 59 238 7.5
344* 2025/12/30 21:48:07 6 127 23 136 -35.6
345* 2025/12/31 00:00:07 4 132 25 165 -89.7
346* 2025/12/31 00:00:07 5 179 9 464 -40.4
347* 2025/12/31 01:25:54 2 107 9 267 -------
348* 2025/12/31 01:36:31 10 179 8 234 -38.0
349* 2025/12/31 03:48:07 3 179 8 936 -1091.2
350* 2025/12/31 04:12:07 8 305 22 498 65.9
351* 2025/12/31 07:00:07 3 178 8 129 -149.5
352* 2025/12/31 07:48:07 4 119 18 108 41.2
353* 2025/12/31 07:48:07 4 177 8 51 22.4
354* 2025/12/31 09:12:07 2 176 5 64 -------
355* 2025/12/31 09:12:07 18 119 13 116 -0.4
356* 2025/12/31 11:12:08 4 175 7 245 -254.3
357* 2025/12/31 12:12:08 7 174 7 100 -22.1
358* 2025/12/31 13:25:55 4 39 56 278 -165.8
359* 2025/12/31 14:12:07 8 434 167 402 27.9
360* 2025/12/31 16:00:07 2 102 44 150 -------
361* 2025/12/31 16:00:07 4 17 32 580 -144.6
362* 2025/12/31 17:00:07 9 11 22 204 38.0
363* 2025/12/31 18:48:07 4 369 24 189 -112.1
364* 2025/12/31 19:00:07 3 152 11 139 149.1
365* 2025/12/31 19:12:07 2 43 6 268 -------
366* 2025/12/31 19:36:07 12 151 17 117 8.1
367* 2025/12/31 19:48:07 3 8 11 726 -82.2
368* 2025/12/31 21:48:09 5 115 10 360 49.9
</td>


Curators: Jie Zhang (jzhang7 AT gmu.edu); Suman Dhakal (sdhakal2 AT gmu.edu);
Last updated: 2020/04